
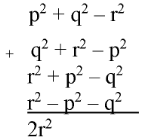
Упростите выражение, расположив слагаемые в столбик:
а)

(a − b + c) − (a − b + d) + (a − c + d) − (b − c + d) = (a − b + c) + (−a + b − d) + (a − c + d) + (−b + c − d) = a − b + c − d

(x + y + z − 1) − (x − y + z + 1) + (x − y − z + 1) − (x − y − z − 1) = (x + y + z − 1) + (−x + y − z − 1) + (x − y − z + 1) + (−x + y + z + 1) = 2y
